• Предмет: Алгебра
  • Автор: SchoolFox
  • Вопрос задан 8 лет назад

ПОМОГИТЕ!!!!
СРОЧНО!!!
желательно объяснить как и почему получился такой ответ!​

Приложения:

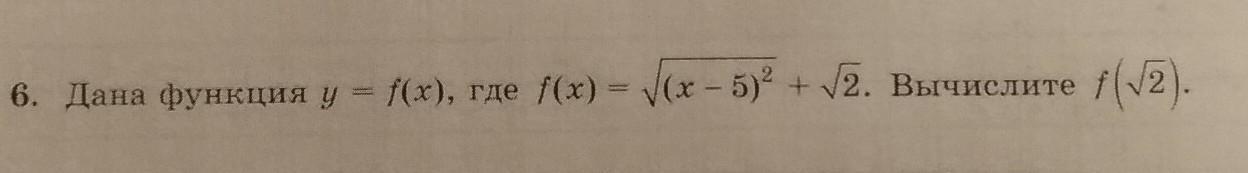
Ответы

Ответ дал: snikoloenak26
0

f(x)=sqrt{(x-5)^2}+sqrt2\f(sqrt2)=sqrt{(sqrt2-5)^2}+sqrt2=5-sqrt2+sqrt2=5

Нужно вместо икс подставить sqrt2

Ответ:5

Вас заинтересует