• Предмет: Алгебра
  • Автор: ulivola
  • Вопрос задан 8 лет назад

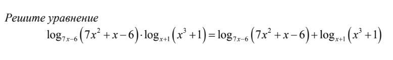
Требуется выполнить задание из вложения

Приложения:

Ответы

Ответ дал: 25hjoerf10
0

Ответ:

х₁ = 7; х₂ = 1.

Объяснение:

log_{7x-6} (7x^{2}+x-6 )*log_{x+1} (x^{3}+1)=log_{7x-6} (7x^{2}+x-6 )+log_{x+1} (x^{3}+1)\\log_{7x-6} (7x-6)(x+1)*log_{x+1} (x+1)(x^{2}-x+1)=\=log_{7x-6} (7x-6)(x+1)+log_{x+1} (x+1)(x^{2}-x+1)\\(log_{7x-6} (7x-6)+log_{7x-6} (x+1))*(log_{x+1} (x+1)+log_{x+1} (x^{2}-x+1))=\=log_{7x-6} (7x-6)+log_{7x-6} (x+1)+log_{x+1} (x+1)+log_{x+1} (x^{2}-x+1)\\(1+log_{7x-6} (x+1))*(1+log_{x+1} (x^{2}-x+1))=\=1+log_{7x-6} (x+1)+1+log_{x+1} (x^{2}-x+1)

1+log_{x+1} (x^{2}-x+1)+log_{7x-6} (x+1)+log_{7x-6} (x+1)*log_{x+1} (x^{2}-x+1)=\=2+log_{7x-6} (x+1)+log_{x+1} (x^{2}-x+1)\\1+log_{7x-6} (x+1)*log_{x+1} (x^{2}-x+1)=2\\log_{7x-6} (x+1)*log_{x+1} (x^{2}-x+1)=1\\frac{1}{log_{x+1} (7x-6)} *log_{x+1} (x^{2}-x+1)=1\\log_{x+1} (x^{2}-x+1)=log_{x+1} (7x-6)\\x^{2} -x+1=7x-6\x^{2} -x-7x+1+6=0\x^{2} -8x+7=0\(x-7)(x-1)=0\x-7=0\x_{1} =7\x-1=0\x_{2} =1

Ответ дал: 25hjoerf10
0
Ответы есть?
Ответ дал: 25hjoerf10
0
Надеюсь, что решила правильно
Ответ дал: ulivola
0
x=1 не является решением, т.к. в первый логарифм получается с основанием 1 по 2, всё остальное верно. Ответ: 7

Спасибо большое!
Вас заинтересует