• Предмет: Алгебра
  • Автор: emptyzz
  • Вопрос задан 8 лет назад

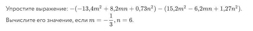
выполните задание из карточки

Приложения:

Ответы

Ответ дал: Петр144
0

Ответ:

1) -1,8m^{2} - 2mn - 0,54n^{2}

2) -15,6

Объяснение:

m = - frac{1}{3}, n = 6

1) - (- 13,4m^{2} + 8,2mn + 0,73n^{2}) - (15,2m^{2} - 6,2mn + 1,27n^{2}) =

= 13,4m^{2} - 8,2mn + 0,73n^{2} - 15,2m^{2} + 6,2mn - 1,27n^{2} = -1,8m^{2} - 2mn - 0,54n^{2};

2) m = - frac{1}{3}, n = 6 ⇒ -1,8m^{2} - 2mn - 0,54n^{2} = -1,8 × frac{1}{3^{2} } - 2 × (- frac{1}{3}) × 6 - 0,54 × 6^{2} =

= - frac{18}{10} × frac{1}{9} + frac{12}{3} - frac{54}{100} × 36 = - 0,2 + 4 - frac{54 * 36}{25 * 4} = 3,8 - frac{54*9}{25} = 3,8 - frac{486}{25} = 3,8 - 19 frac{110-25*4}{25} = 3,8 - 19 frac{10}{25} = 3,8 - 19frac{10*4}{25*4} = 3,8 - 19frac{40}{100} = 3,8 - 19,4 = -15,6

Вас заинтересует