• Предмет: Алгебра
  • Автор: zoninpavel2015
  • Вопрос задан 8 лет назад

прошу помогите срочно!!! ​

Приложения:

Ответы

Ответ дал: Universalka
0

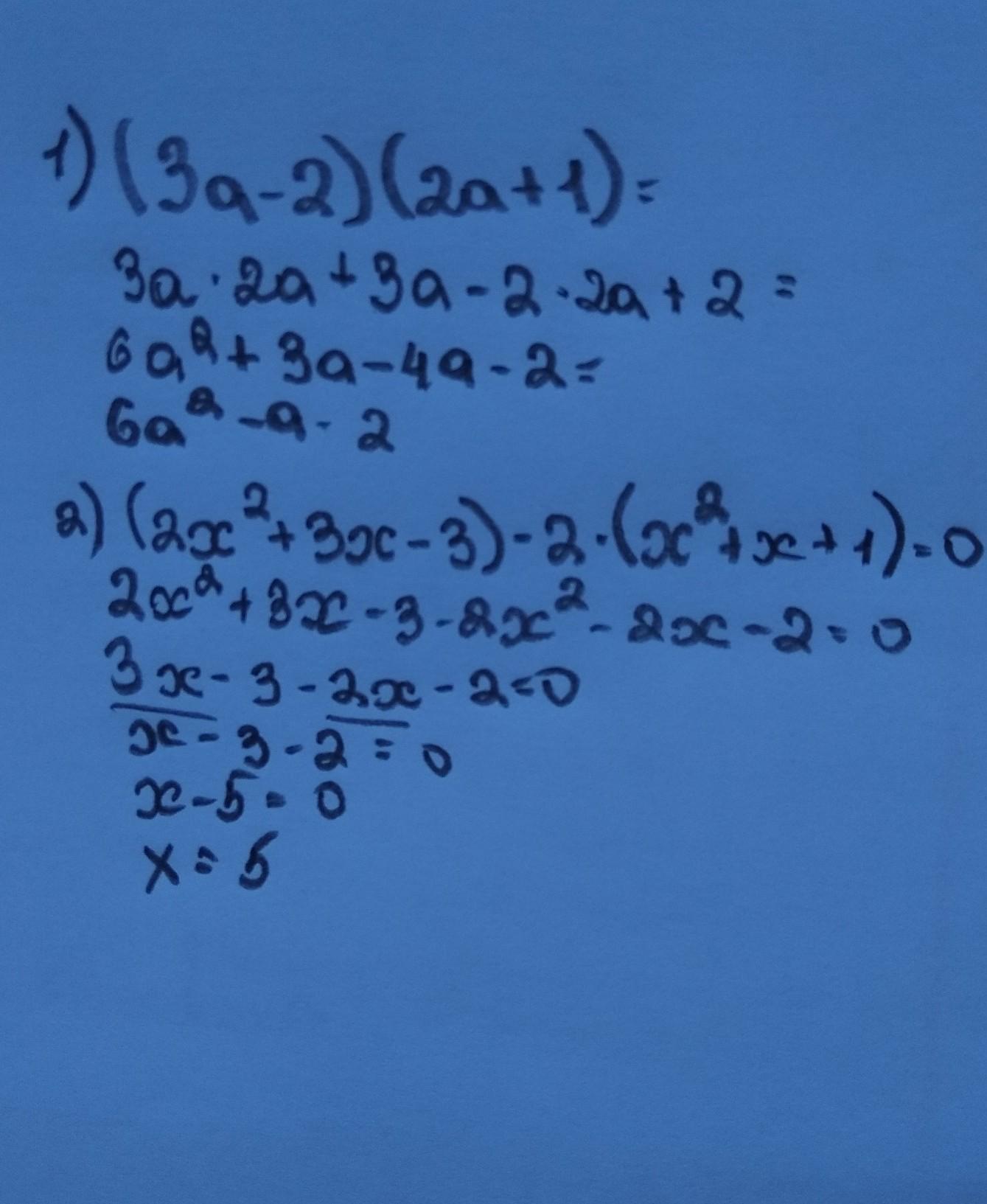
12) (3a - 2)(2a + 1) = 6a² + 3a - 4a - 2 = 6a² - a - 2

13) (2x² + 3x - 3) - 2(x² + x + 1) = 0

2x² + 3x - 3 - 2x² - 2x - 2 = 0

x - 5 = 0

x = 5

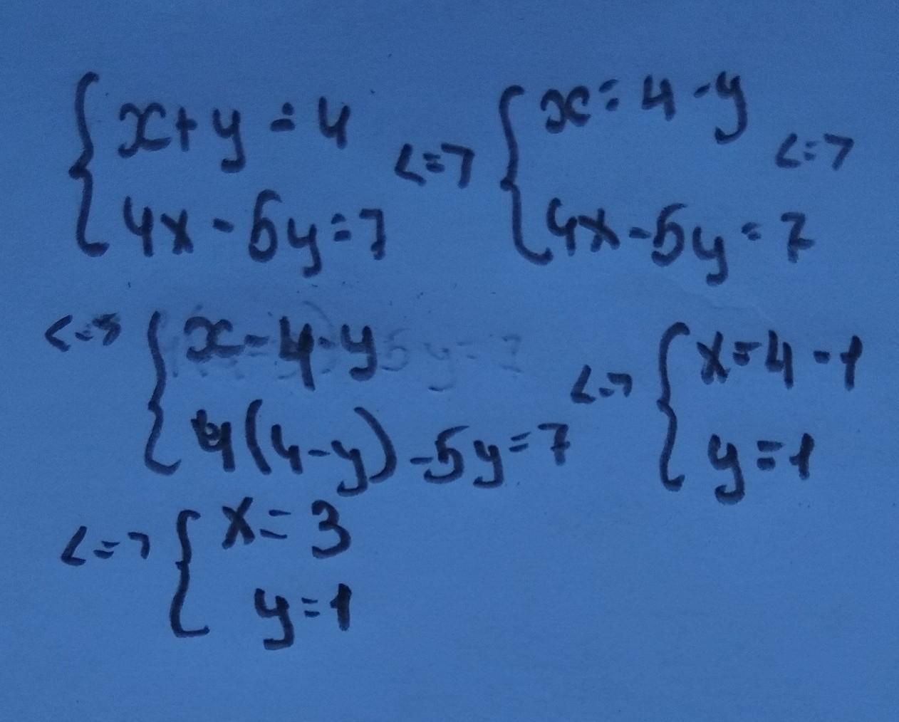
14)left { {{x+y=4}|*5 atop {4x-5y=7}} right. \\+left { {{5x+5y=20} atop {4x-5y=7}} right.\ -------\9x=27\\x=3\\y=4-x=4-3=1\\Otvet:boxed{(3;1)}

Ответ дал: angelina07078
0

Ответ:

в первом задание решение в строчку писала в столбик чтобы сократить место

Приложения:
Ответ дал: zoninpavel2015
0
спасибо,
Вас заинтересует