• Предмет: Математика
  • Автор: pryahinya
  • Вопрос задан 8 лет назад

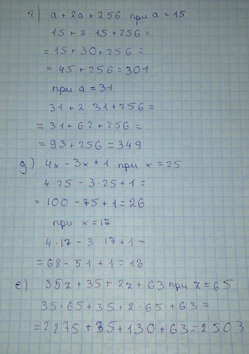
г) а + 2а + 256, если а = 15; 31;
д) 4х - 3х +1, если х = 25; 17;
е) 35z + 35 +2z + 63, если z = 65 помогите пж решить

Ответы

Ответ дал: alesia8907
0

Пошаговое объяснение:

Вроде так...........

Приложения:
Ответ дал: NightCat05
0

Пошаговое объяснение:

г) а + 2а + 256, если а = 15; 31;

15+2*15+256=301

31+2*31+256=349

д) 4х - 3х +1, если х = 25; 17;

4*25-3*25+1=26

4*17-3*17+1=18

е) 35z + 35 +2z + 63, если z = 65

35*65+35+2*65+63=2503

Приложения:
Вас заинтересует