• Предмет: Алгебра
  • Автор: veronikadalavurak
  • Вопрос задан 8 лет назад

Дуже срочно буду вдячна))) ​

Приложения:

Ответы

Ответ дал: Universalka
0

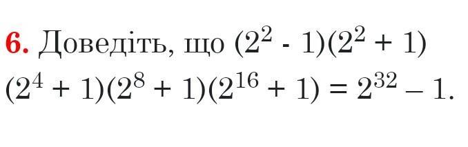
(2² - 1)(2² + 1)(2⁴ + 1)(2⁸ + 1)(2¹⁶ + 1) = (2⁴ - 1)(2⁴ + 1)(2⁸ + 1)(2¹⁶ + 1) =

= (2⁸ - 1)(2⁸ + 1)(2¹⁶ + 1) = (2¹⁶ - 1)(2¹⁶ + 1) = 2³² - 1

2³² - 1 = 2³² - 1

Что и требовалось доказать

Вас заинтересует