Ответы
Ответ дал:
0
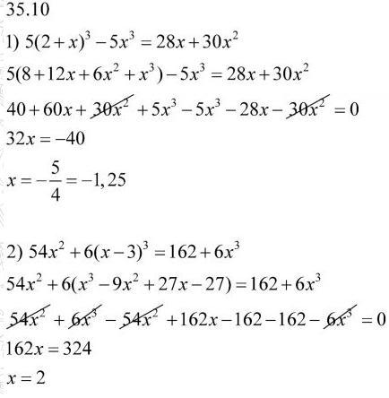
вот ответ и объеснение
Приложения:




Вас заинтересует
2 года назад
2 года назад
3 года назад
8 лет назад
8 лет назад