• Предмет: Физика
  • Автор: aiaulym173
  • Вопрос задан 8 лет назад

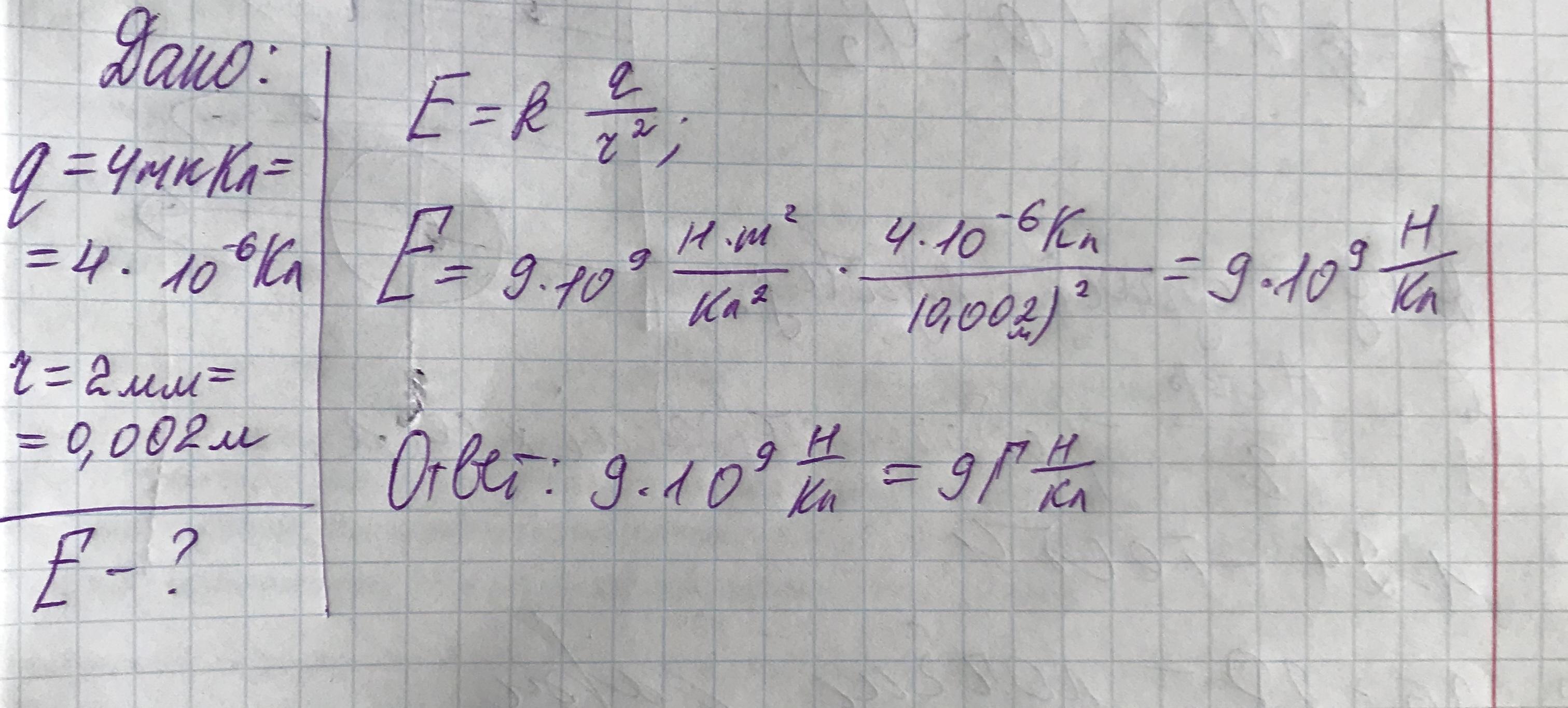
пожалуйста помагите по физике даю вам 50 баллов
Найти напряжение поля заряда 4 мкКл в центре металлической сферы радиусом 2 мм.​

Ответы

Ответ дал: romaniukandrii15
0

Ответ на фото....................

Приложения:
Вас заинтересует