Ответы
Ответ дал:
0
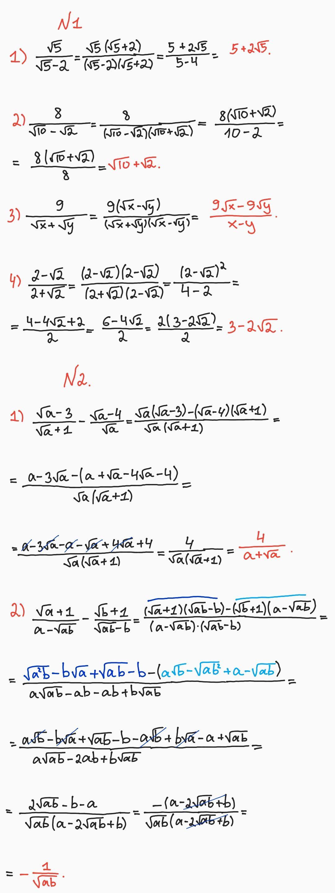
Чтобы освободиться от иррациональности в знаменателе, в первом задании нужно применить знакомую формулу (a-b)(a+b)=a²-b².
Во втором задании просто подводим все к общему знаменателю, а дальше идут расчёты...
Приложения:

Ответ дал:
0
Ну ты мне ту же тему объяснила, я поняла, и эту тему так само
Ответ дал:
0
))
Вас заинтересует
2 года назад
2 года назад
3 года назад
8 лет назад
8 лет назад
9 лет назад