Ответы
Ответ дал:
0
~~~~~~~~~~~~~~~~~~~~~~~~~~~~~~~
Приложения:

Ответ дал:
0
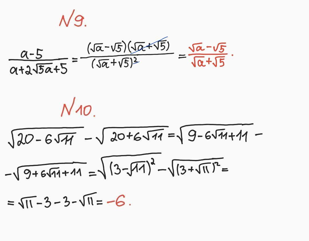
Там модули. |3-√11| - |3+√11|. Поскольку √11>3², мы меняем местами и получаем: √11-3-3-√11...
Ответ дал:
0
Спасибо огромное!!!
Вас заинтересует
2 года назад
2 года назад
3 года назад
3 года назад
8 лет назад