• Предмет: Алгебра
  • Автор: faberlictlt
  • Вопрос задан 8 лет назад

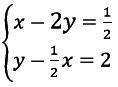
Определите количество решений системы графическим методом:

Приложения:

Ответы

Ответ дал: karkushaStepashka
0

Объяснение:

1) извини за качество.

2) под рукой не было линейки, поэтому на рисунке у меня прямые не параллельны. НО на клетчатой бумаге и с линейкой прямые будут параллельными, потому что у них угловые коэффициенты одинаковые.

Приложения:
Ответ дал: Аноним
0

Ответ: во вложении Объяснение:

Приложения:
Вас заинтересует