Ответы
Ответ дал:
0
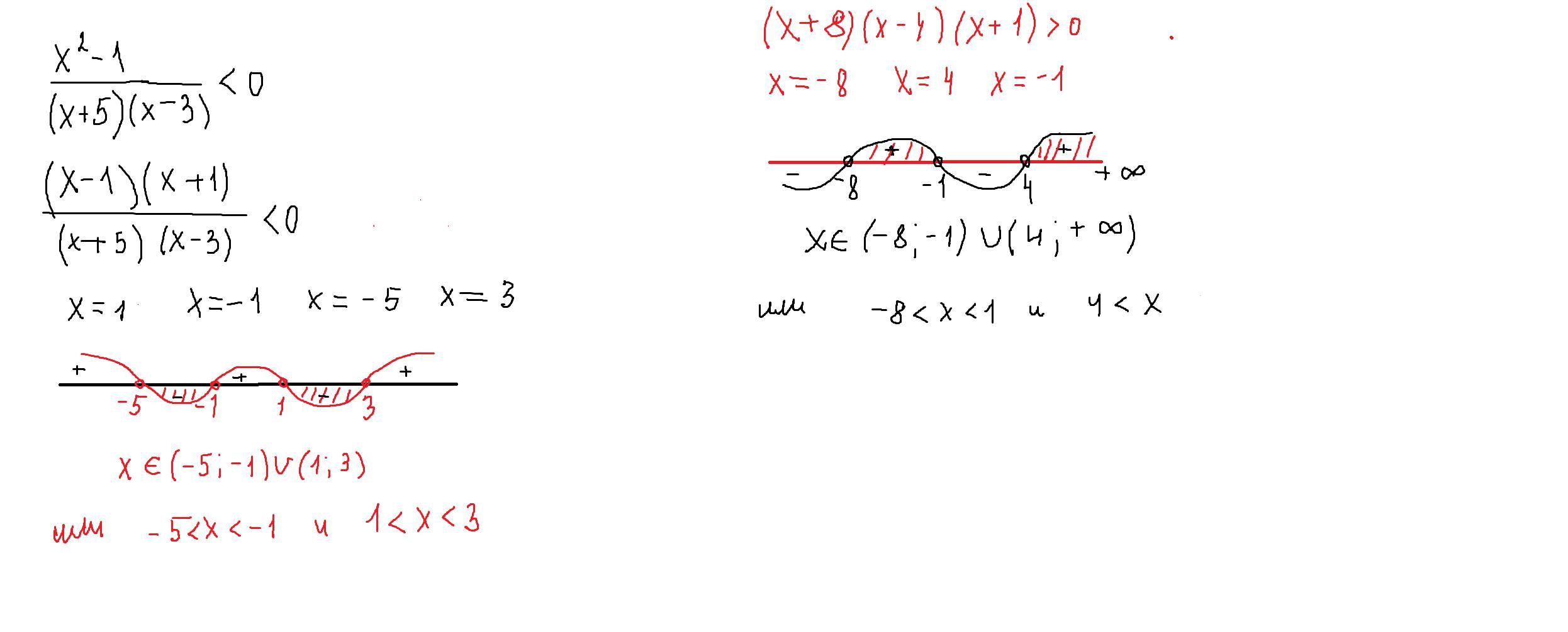
1:
х-5; x
3
-1=0
=1
x=±1
____-5____-1___1____3__>
+ - + - +
Так как меньше 0, то учитываются промежутки с минусом и без самих точек. Ответ: (-5;-1)∪(1;3)
2:
x=-8
x=4
x=-1
______-8_______-1_______4______>
- + - +
Так как н-во больше 0, то учитываются промежутки с плюсом и без самих точек. Ответ: (-8;-1)∪(4;+∞)
Ответ дал:
0
Ответ:
Пошаговое объяснение:
решение методом интервалов
Приложения:

Вас заинтересует
2 года назад
2 года назад
3 года назад
8 лет назад
8 лет назад
9 лет назад
9 лет назад