• Предмет: Математика
  • Автор: Nat1234567
  • Вопрос задан 8 лет назад

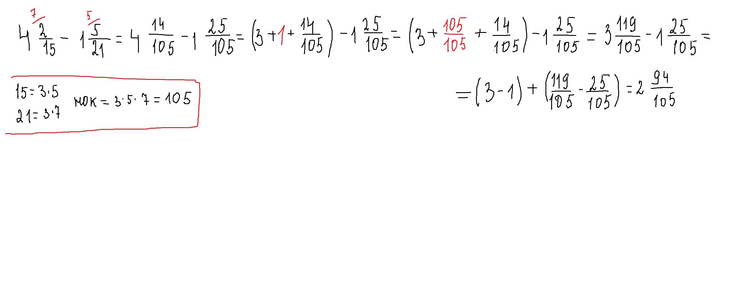
4 2/15-1 5/21 вычесть и показать решение в развернутом виде

Ответы

Ответ дал: суперсупервау
0

Ответ:

2 94105

Пошаговое объяснение:

1. Сначала дробные :

2/15 - 5/21 - общий множитель 105, следовательно умножаем первую дробь на 7, а вторую на 5

2. 14 105 - 25 105  - мы видим, что первое число меньше второго, значит занимаем один от целой части

3. 14 + 105 105 - 25105 = 94105

4. Теперь целые части:

4-1( тавк как мы заняли единицу во время вычитания дробей) - 1 = 2

5. Складываем обе части:

2 94105

Ответ дал: parus77
0

Ответ:

2 94105

Пошаговое объяснение:

решение внизу

Приложения:
Вас заинтересует