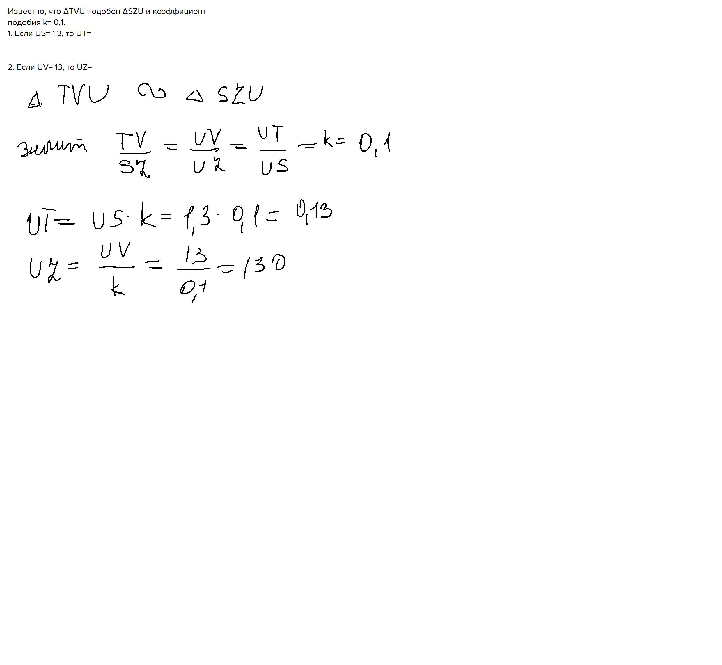
Известно, что ΔTVU подобен ΔSZU и коэффициент подобия k= 0,1.
1. Если US= 1,3, то UT= 
2. Если UV= 13, то UZ=
                        
                            
                            
                    Ответы
                                            Ответ дал: 
                                                                                    
                                        
                                            
                                                
                                                
                                                
                                                    0
                                                
                                            
                                        
                                    Ответ:
Объяснение:
Известно, что ΔTVU подобен ΔSZU и коэффициент подобия k= 0,1.
Приложения:
                     
                            Вас заинтересует
                
                        2 года назад
                    
                
                        3 года назад
                    
                
                        3 года назад
                    
                
                        8 лет назад
                    
                
                        9 лет назад