• Предмет: Алгебра
  • Автор: yaroslavgoncharov200
  • Вопрос задан 8 лет назад

ДАЙТЕ ОТВЕТ ПЛЗ ПРОШУ СРОЧНОООООООО!!!!!!!!!!!!!!!!!!!!!!!!

Приложения:

Ответы

Ответ дал: sulp2080
0

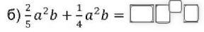
Ответ:

13/20а4б2 и если ответ неправильный сори но вроде должно быть правильно

Ответ дал: yaroslavgoncharov200
0
держу в курсе a2b не меняется только коэф складывается
Вас заинтересует