• Предмет: Алгебра
  • Автор: localgnome
  • Вопрос задан 8 лет назад

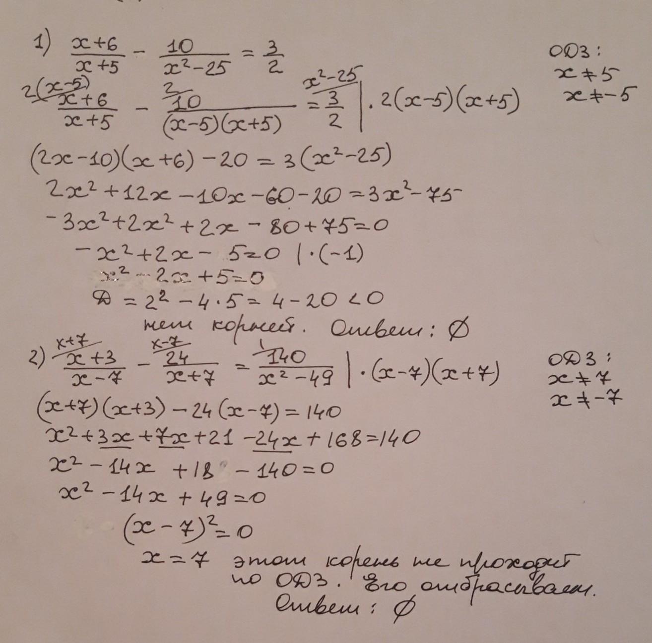
ПОМОГИТЕ ПОЖАЛУЙСТА
решить по теореме ОДЗ
 frac{x + 6}{x + 5}  +  frac{10}{ {x}^{2}  - 25}  =  frac{3}{2}

Приложения:

Ответы

Ответ дал: sharofat0
0

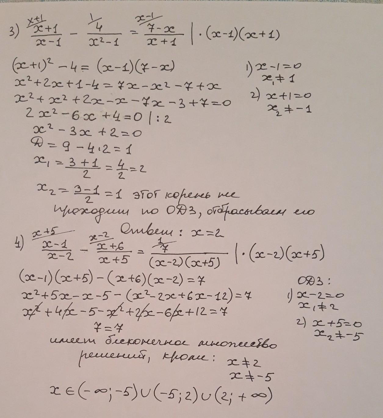
Ответ:

Найти корни ур. с учетом ОДЗ.

Приложения:
Вас заинтересует