Ответы
Ответ дал:
0
Ответ:
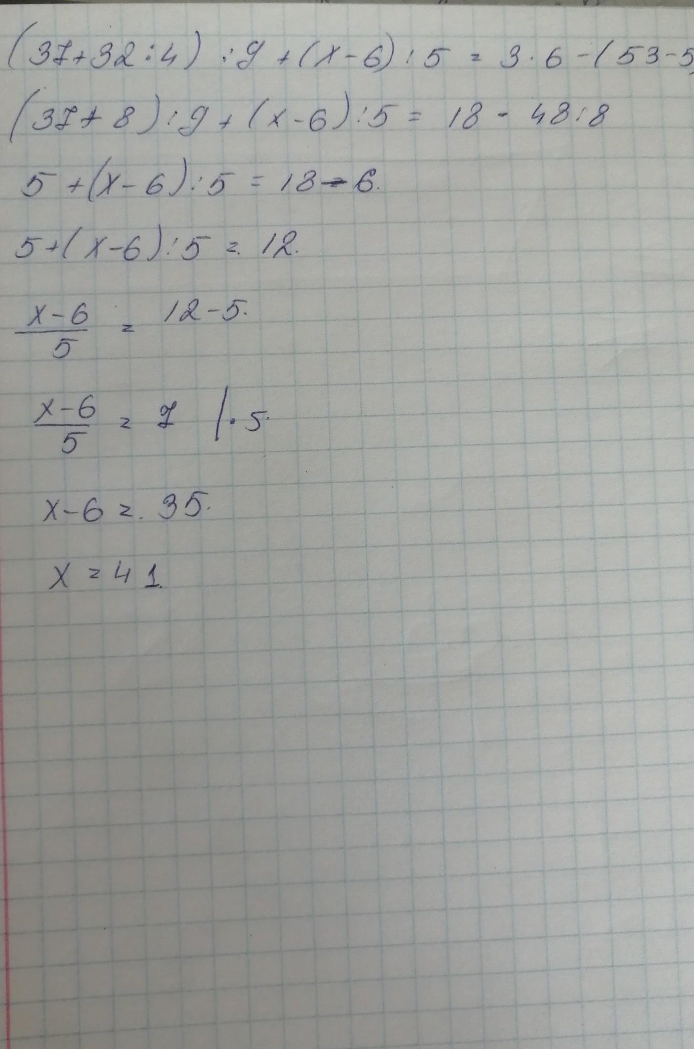
(37+32:4):9+(х-6):5=3×6-(53-5):8
Х=41
Приложения:

Ответ дал:
0
Пошаговое объяснение:
1) 37+32=68
2)68:4=17
3)17:9=1,(8)
4)1,(8)+(х-6)=х-7,(8)
это перед равно
1)53-5=48
2)3×6=18
3)48-18=30
4)30:8=3,75
ответ х-7,(8)=3,75
Приложения:

Вас заинтересует
2 года назад
2 года назад
3 года назад
3 года назад
8 лет назад
9 лет назад