Ответы
                                            Ответ дал: 
                                                                                    
                                        
                                            
                                                
                                                
                                                
                                                    0
                                                
                                            
                                        
                                    
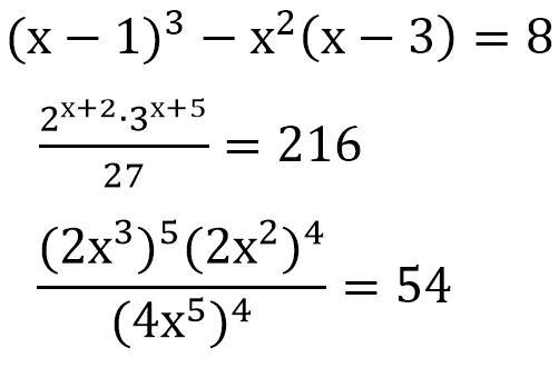
                                        Ок(34)х234)5-7наверное вот так какой класс ? 
                                    
                                        
                                        
                                Вас заинтересует
                
                        2 года назад
                    
                
                        3 года назад
                    
                
                        8 лет назад
                    
                
                        8 лет назад
                    
                
                        9 лет назад
                    
                