• Предмет: Алгебра
  • Автор: teslenkopk
  • Вопрос задан 8 лет назад

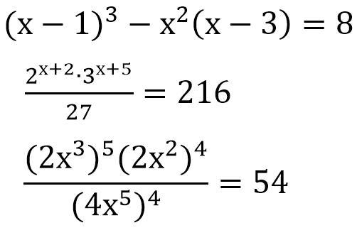
СРОООООООООООООЧНО ДАМ ВСЕ БАЛЛЫ 20

Приложения:

Ответы

Ответ дал: bogdanlashko
0

Ответ:

1) 3

2) log6(2/243) ≈ -2,6788

3) 3

Объяснение:

Все на фото.

Приложения:
Ответ дал: Nina1952
0
Смотри ))))))))))))))))))))))))))
Приложения:
Вас заинтересует