• Предмет: Алгебра
  • Автор: sobakapaninaoio
  • Вопрос задан 8 лет назад

Помогите подалуйста 30 баллов

Приложения:

Ответы

Ответ дал: StefanyOgneva
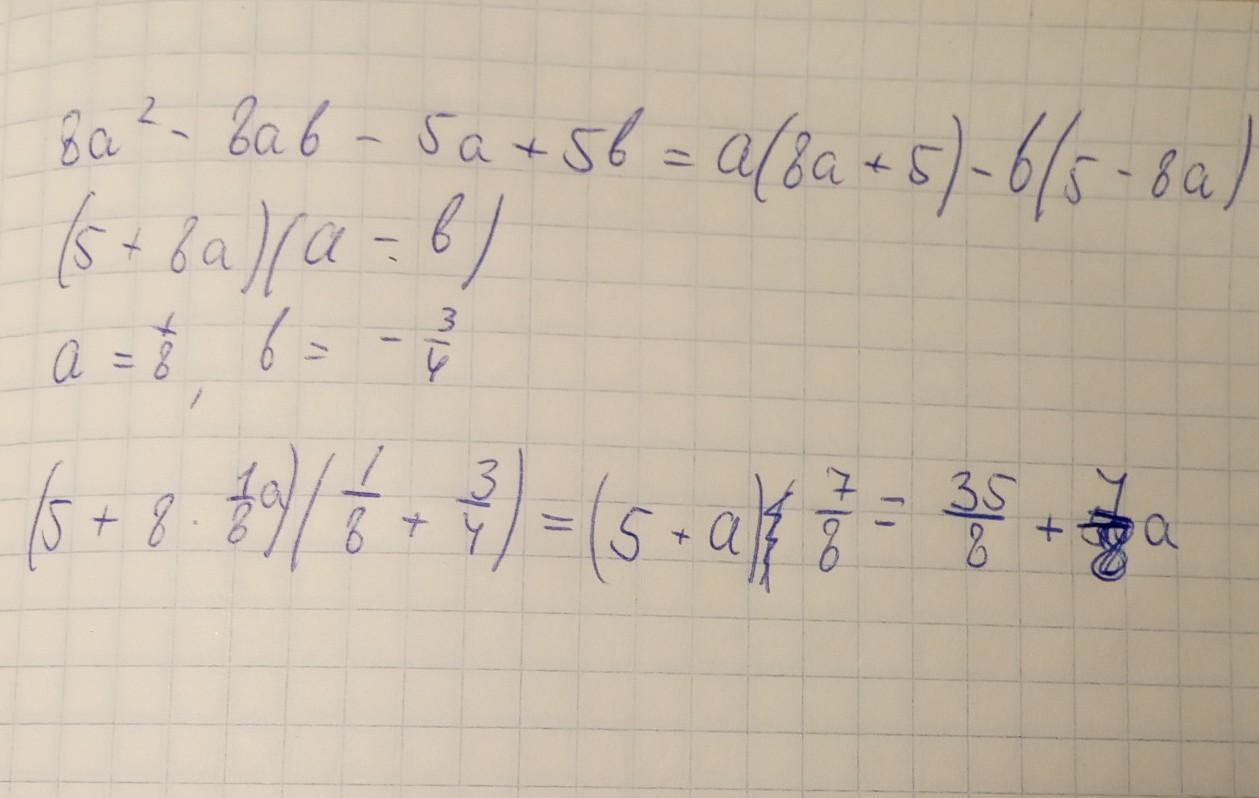
0

Объяснение:

a(8а+5)-в(5-8а)=(5+8а)(а-в) так раскладывается на множители

(5+8а)(а-в)=(5+8а*1/8)(1/8+3/4)=(5+а)7/8=35/8+7/8а

второе не знаю

Приложения:
Ответ дал: sobakapaninaoio
0
Спасибо
Вас заинтересует