• Предмет: Алгебра
  • Автор: Mamico
  • Вопрос задан 8 лет назад

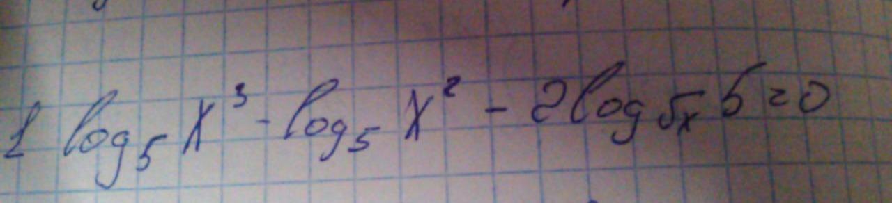
Помогите решить уравнение

Приложения:

Ответы

Ответ дал: ChiStS
0

Заметим, что первые два логарифма по основанию пять связываются в формулу:

log(a)[b] - log(a)[c] = log(a)[b/c].

Кроме того, необходимо знать формулу перемены оснований.

log(a)[b] = log(c)[b] / log(c)[a]  

Тогда:

log(5)[x³/x²] - 2(log(5)[5] / log(5)[√x]) = 0

log(5)[x] - 2 ( 1 / log(5)[√x]) = 0

log(5)[x] - 2 / 0.5log(5)[x] = 0

log(5)[x] = -2

log(5)[x] = 2

_________________

x = 1/25

x = 25

Ответ: x = 1/25; x = 25

P.S

в круглых скобках - основание логарифма, в квадратных число, которое мы получаем после возведения основания в степень.

Вас заинтересует