Ответы
Ответ дал:
0
Объяснение:
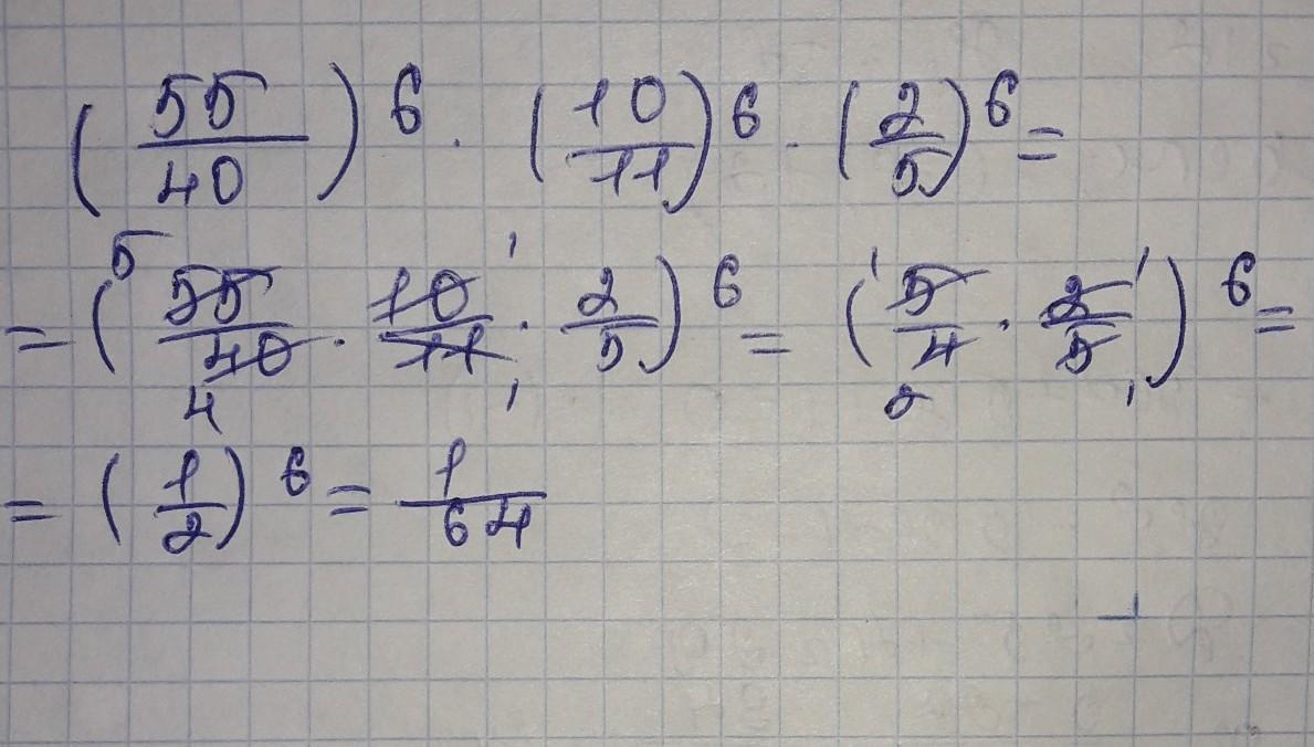
так как у нас степени у всех этих дробей одинаковые, то мы можем все эти числа засунуть в одну скобки с общей одинаковой степенью
Приложения:

Вас заинтересует
3 года назад
8 лет назад
9 лет назад