• Предмет: Алгебра
  • Автор: emineka228umerova
  • Вопрос задан 8 лет назад

Помогите 70 баллов
Срочно,можете решить и сфотографировать

Приложения:

Ответы

Ответ дал: NNNLLL54
0

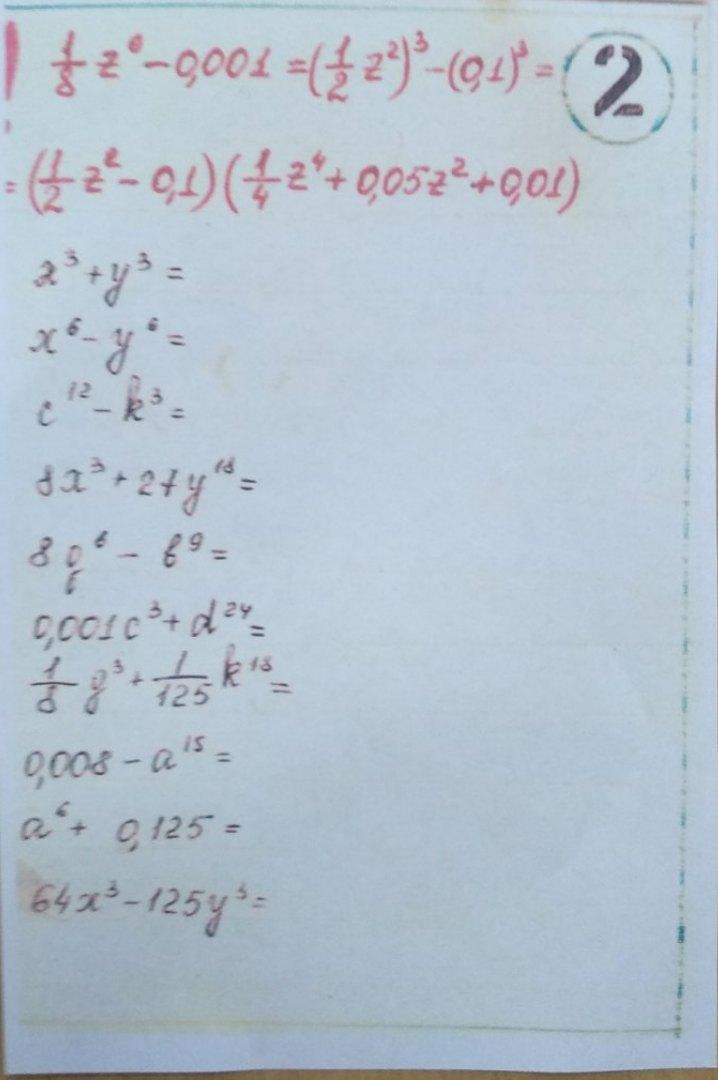
frac{1}{8z^6}-0,001=(frac{1}{2}z^2)^3-(0,1)^3=(frac{1}{2}z^2-0,1)(frac{1}{4}z^4+0,05z^2+0,01)\\x^3+y^3=(x+y)(x^2-xy+y^2)\\x^6-y^6=(x^2-y^2)(x^4+x^2y^2+y^4)\\c^{12}-k^3=(c^4-k)(c^8+c^4k+k^2)\\8x^3+27y^{18}=(2x+3y^6)(4x^2-6xy^6+9y^{12})\\8q^6-b^9=(2q^2-b^3)(4q^4+2q^2b^3+b^6)

0,001c^3+d^{24}=(0,1c+d^8)(0,01c-0,1cd^8+d^{16})\\frac{1}{8}q^3+frac{1}{125}k^{18}=(frac{1}{2}q+frac{1}{5}k^6)(frac{1}{4}q^2-frac{1}{10}qk^6+frac{1}{25}k^{12})\\0,008-a^{15}=(0,2-a^5)(0,04+0,2a^5+a^{10})\\a^6+0,125=(a^2+0,5)(a^4-0,5a^2+0,25)\\64x^3-125y^3=(4x-5y)(16x^2+20xy+25y^2)

Ответ дал: emineka228umerova
0
Спасибо❤
Ответ дал: emineka228umerova
0
Можете помочь еще раз 70 баллов задания очень похожи
Вас заинтересует