• Предмет: Математика
  • Автор: kotayara
  • Вопрос задан 8 лет назад

помогите пожалуйста разобраться​

Приложения:

Ответы

Ответ дал: gogaevaraisat
0

Ответ:

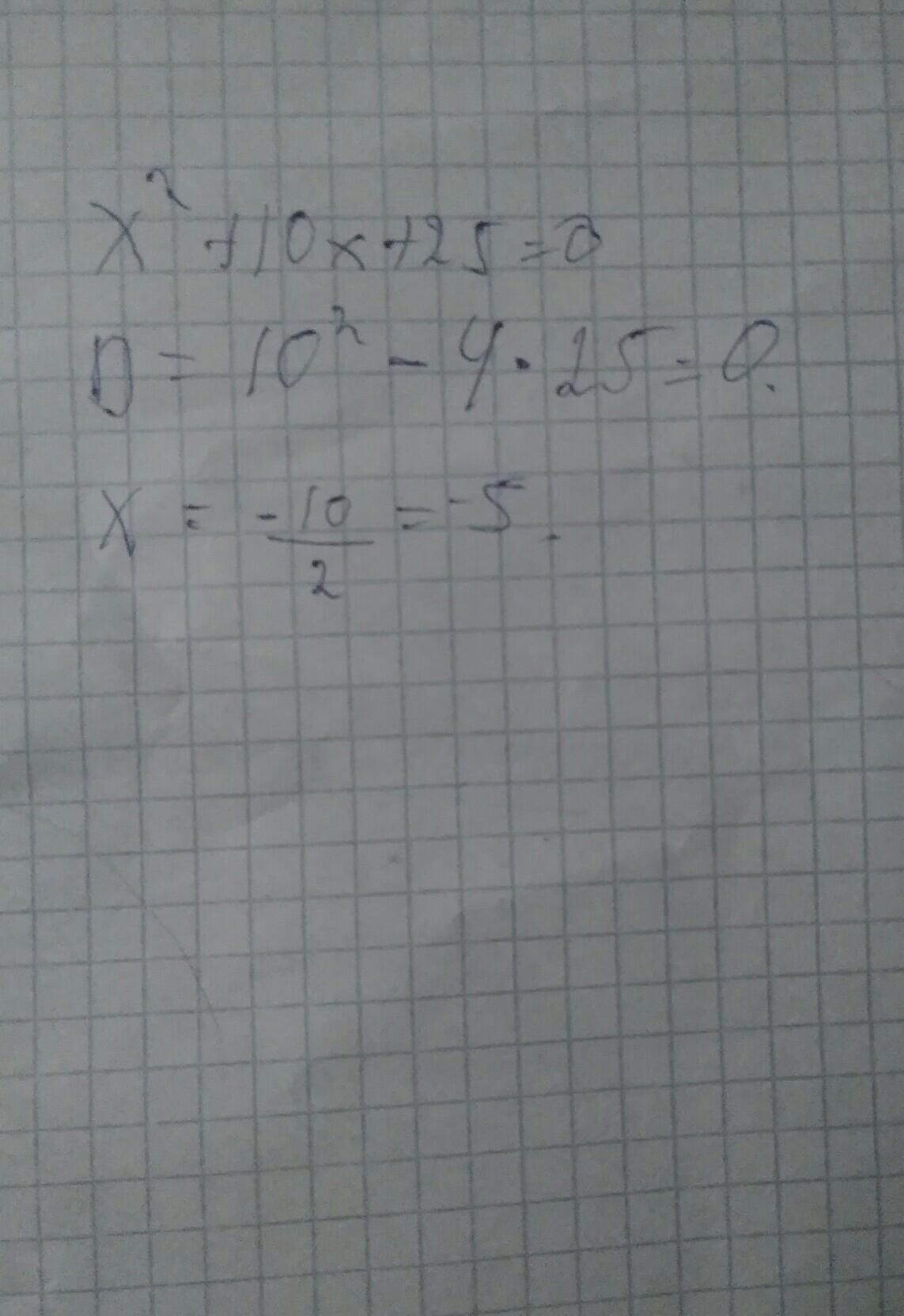
х*+10х+25=0

(х+5)*=0

х+5=0

х=-5

Ответ дал: Gaaaaaliya
0

Ответ:

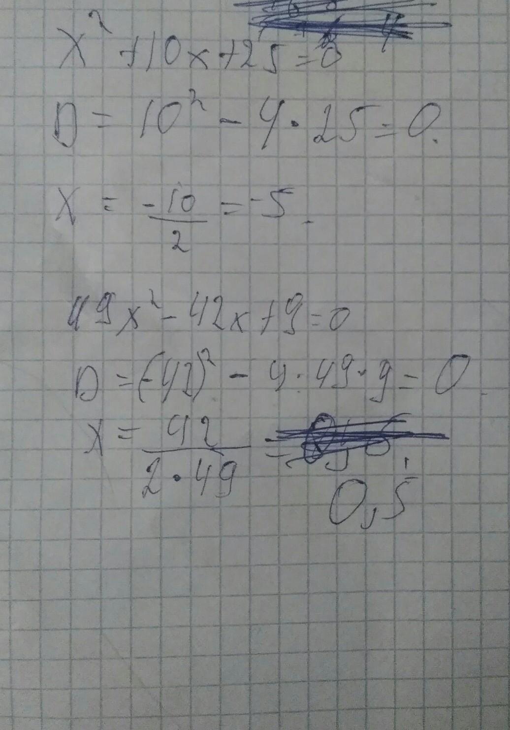
1) -5

2)0.5

кМенкркпввлпгкгоуновурлпалағ

Приложения:
Ответ дал: kotayara
0
у тебя есть ошибка во втором
Вас заинтересует