• Предмет: Математика
  • Автор: СветикГордиленков
  • Вопрос задан 8 лет назад

Пожалуйста помогите взрыв мозга!!!! Аааааа!!!

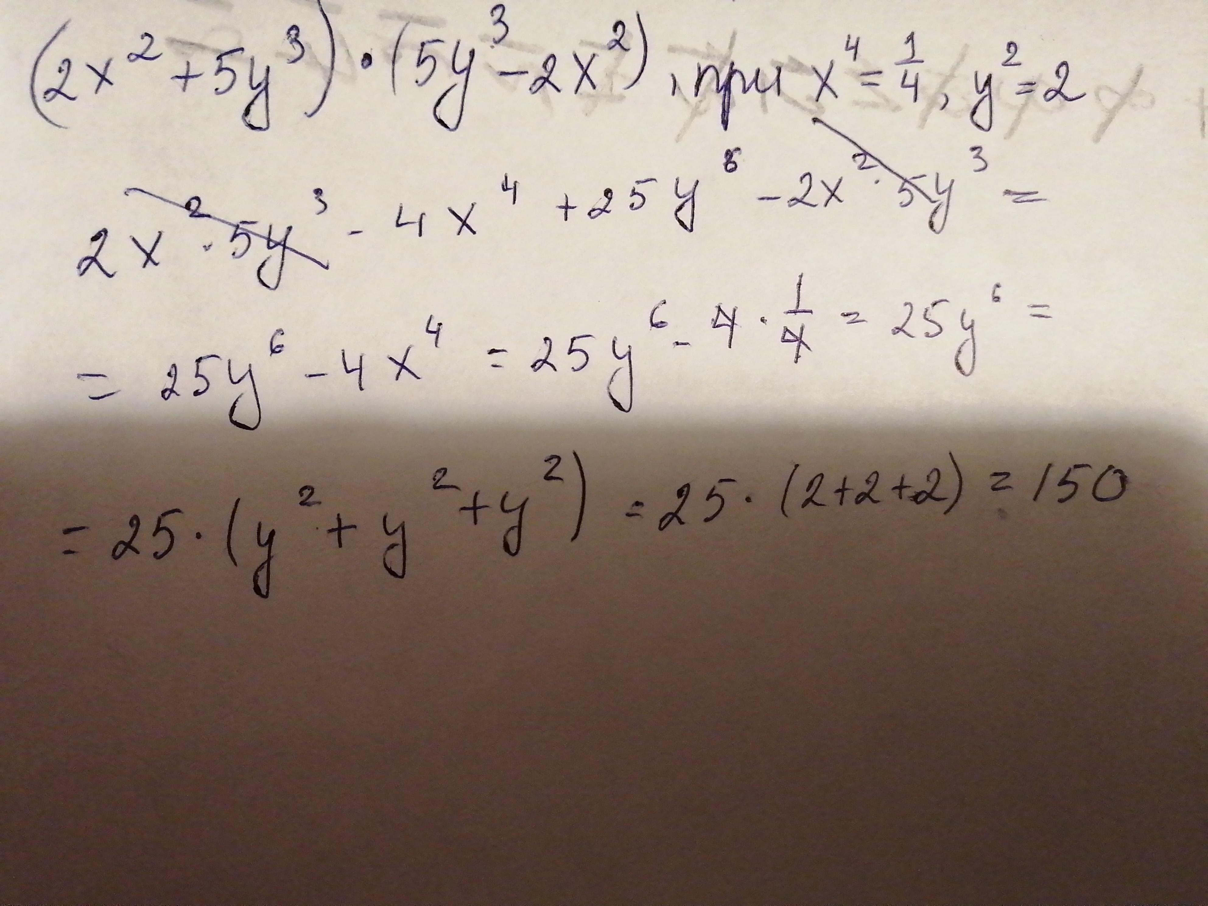
(2x^2+5y^3)*(5y^3-2x^2) при x^4=1/4 y^2=2

ПЖЖЖЖЖЖЖЖЖЖЖЖЖ!!!!!

Ответы

Ответ дал: krikoea
0

Ответ:

150,решение в фото

Пошаговое объяснение:

Приложения:
Ответ дал: Nataliy12321
0

Ответ:25×6=150

Пошаговое объяснение:

Приложения:
Вас заинтересует