• Предмет: Математика
  • Автор: batoria25
  • Вопрос задан 8 лет назад

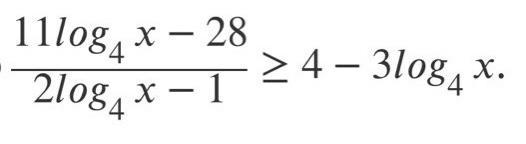
Помогите расписать и решить, пожалуйста

Приложения:

Ответы

Ответ дал: Miroslava227
0

Ответ:

решение на фотографиях

Приложения:
Вас заинтересует