• Предмет: Математика
  • Автор: ShirotoDust
  • Вопрос задан 8 лет назад

Прошу помочь и желательно с пояснением.Просто ничего не понятно в других решениях​

Приложения:

Ответы

Ответ дал: xERISx
0

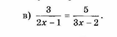
dfrac3{2x-1}=dfrac5{3x-2}\\dfrac3{2x-1}-dfrac5{3x-2}=0

Приводим к общему знаменателю  (2x-1)(3x-2)

dfrac3{2x-1}^{(3x-2}-dfrac5{3x-2}^{(2x-1}=0\\\dfrac{3(3x-2)-5(2x-1)}{(2x-1)(3x-2)}=0\\\dfrac{9x-6-10x+5}{(2x-1)(3x-2)}=0\\\dfrac{-x-1}{(2x-1)(3x-2)}=0

Дробь равна нулю, когда числитель равен нулю, а знаменатель не равен нулю

displaystyleleft { {{-x-1=0} atop {(2x-1)(3x-2)neq0}} right.\\\left { {{x=-1} atop {(2x-1)(3x-2)neq0}} right.\\\Big(2cdot(-1)-1Big)Big(3cdot(-1)-2Big)=-3cdot(-5)neq0

Ответ : -1

Вас заинтересует