• Предмет: Математика
  • Автор: Елька1984
  • Вопрос задан 8 лет назад

Помогите, очень срочно

Z=3arctg(xy) дифференциальная функция​

Ответы

Ответ дал: tonoantamara8
0

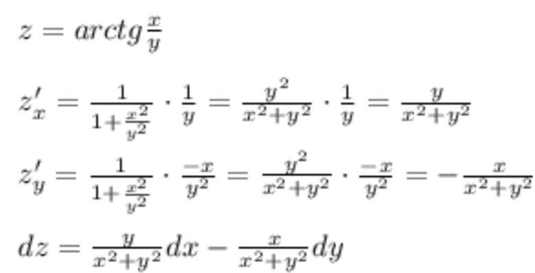
Получается надо сделать вот так

Приложения:
Ответ дал: Елька1984
0
Это решение к другой задаче, у меня перед арктангенсом стоит 3, а тут нет.
Вас заинтересует