• Предмет: Математика
  • Автор: Bluedemon123
  • Вопрос задан 8 лет назад

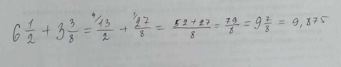
Пожалуйста помогите мне!!! 6целых 1/2 + 3 целых 3/8

Ответы

Ответ дал: gggarbakov
0

Ответ:

Смотри решение на фото

Приложения:
Ответ дал: Bluedemon123
0
Спасибо!!!!!!!!!
Ответ дал: Bluedemon123
0
Это лучший ответ)!
Ответ дал: gggarbakov
0
я?
Вас заинтересует