• Предмет: Математика
  • Автор: danilaivanusak
  • Вопрос задан 8 лет назад

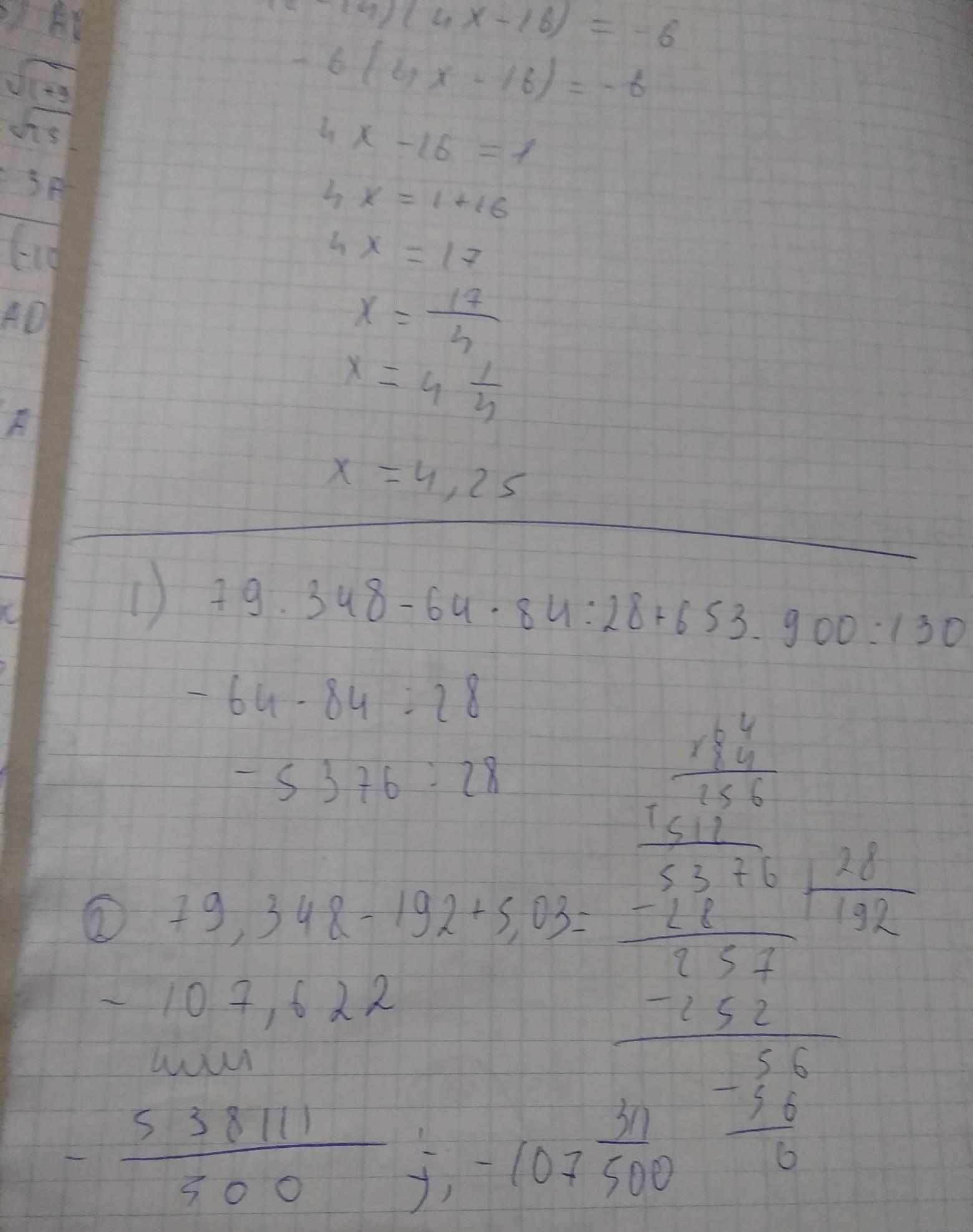
#817 выполни действия 1 пример: 79.348 - 64 * 84 : 28 + 653.900 : 130=?

2 пример: 108.150 : 525 + 24 * (10.000 - 24 * 303) -23.598=?

Ответы

Ответ дал: nikaneta
0
ответ во вложении смотри там
Приложения:
Ответ дал: danilaivanusak
0
1 звезду потому что непонятно
Вас заинтересует