Ответы
Ответ дал:
0
Объяснение:
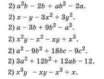
В основном - метод группировки, вынос общего множителя и формулы сокращённого умножения
Приложения:


Вас заинтересует
2 года назад
2 года назад
3 года назад
3 года назад
8 лет назад
8 лет назад
9 лет назад