• Предмет: Алгебра
  • Автор: katydream
  • Вопрос задан 8 лет назад

Прямая y=5x+b проходит через центр окружности (x+1)^2 + (y-2)^2 = 26. Одна из точек пересечения прямой и окружности расположена в третьей четверти. Найти абсциссу этой точки.

Ответы

Ответ дал: mymail169
0

Ответ:

Объяснение:

Если кривые пересекаются, то их абциссы и ординаты в этой точек равны.

Приравняем ординаты.

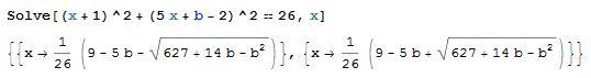
(x+1)^2+(5x+b-2)^2=26

Далее решаем уравнение. В начале раскрываем оба квадрата, и все приводим к квадратному уравнению.

26*x^2+x*(10*b-18)+(b^2-4*b-21)=0

решаем его относительно x (решение прицепил как файл).

Так как точка в третьей четверти, нужен только корень с минусом (первый).

Приложения:
Ответ дал: theexponenta
0

Объяснение:

Исходя из уравнения окружности ее центр в точке (-1;2).

Подставляем в уравнение прямой. 2 = -5 + b => b = 7

Получаем функцию y = 5x + 7

Составим систему уравнений. Далее все на фото

Приложения:
Вас заинтересует