• Предмет: Алгебра
  • Автор: Аноним
  • Вопрос задан 8 лет назад

за это дам 40 баллов.. очень срочно

Приложения:

Ответы

Ответ дал: 111САБИНА111
0

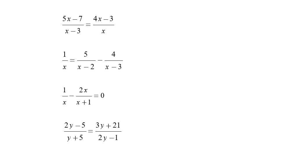
1)5x²-7x=(4x-3)(x-3)

5x²-7x=4x²-12x-3x+9

x²-7x+15x-9=0

x²+8x-9=0

x=-9

x=1

2)1/x=5x-15-4x+8/(X-2)(x-3)

1/x=x-7/x²-3x-2x+6

1/x=x-7/x²-5x+6

x²-7x=x²-5x+6

-2x=6

x=-3

3)1/x-2x/x+1=0

x+1-2x²=0

-2x²+x+1=0

x=1

4)(2y-5)(2y-1)=(3y+21)(y+5)

4y²-2y-10y+5=3y²+15y+21y+105

y²-12y-36y-100=0

y²-48y-100=0

y=50

y=-2

Вас заинтересует