Ответы
Ответ дал:
0
Ответ:
фото
Объяснение:
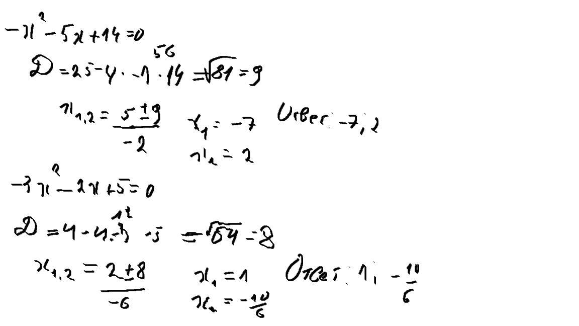
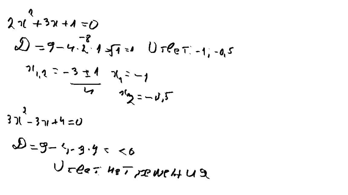
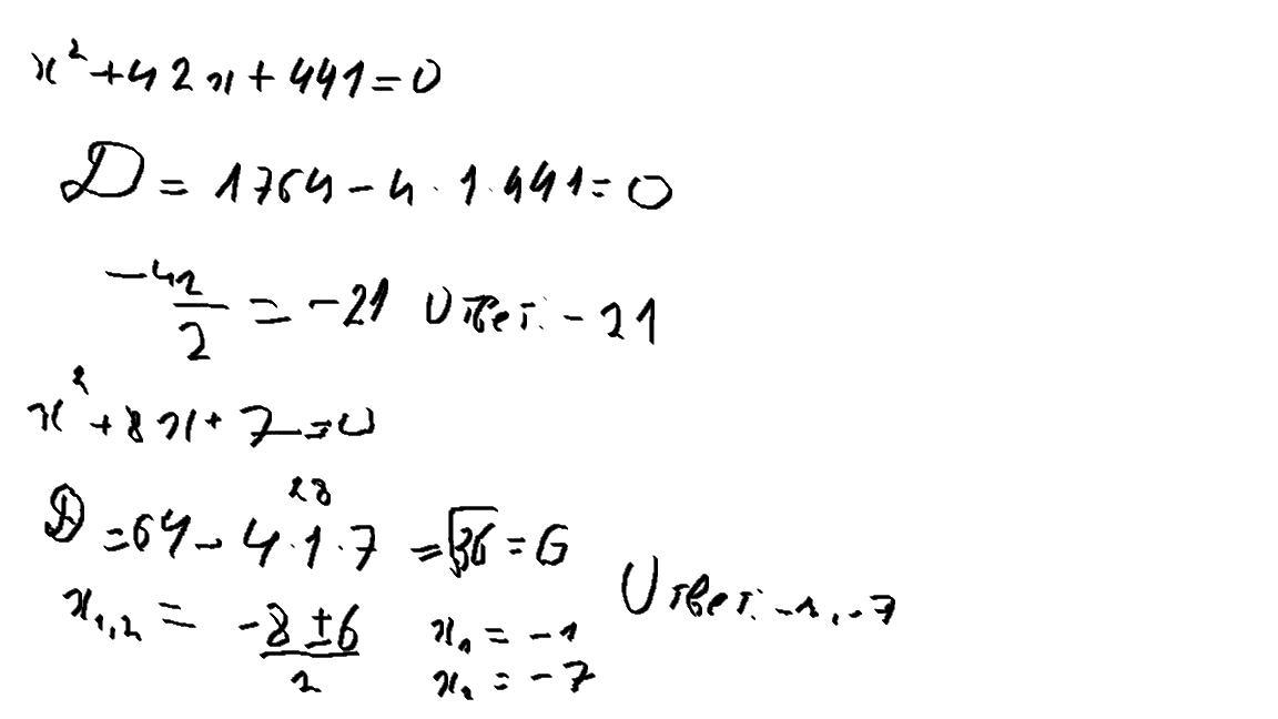
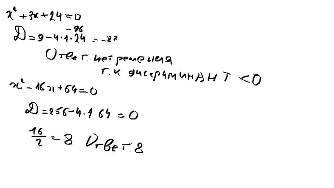
Приложения:




Вас заинтересует
2 года назад
2 года назад
3 года назад
3 года назад
8 лет назад
9 лет назад