• Предмет: Математика
  • Автор: fedorgame8834
  • Вопрос задан 8 лет назад

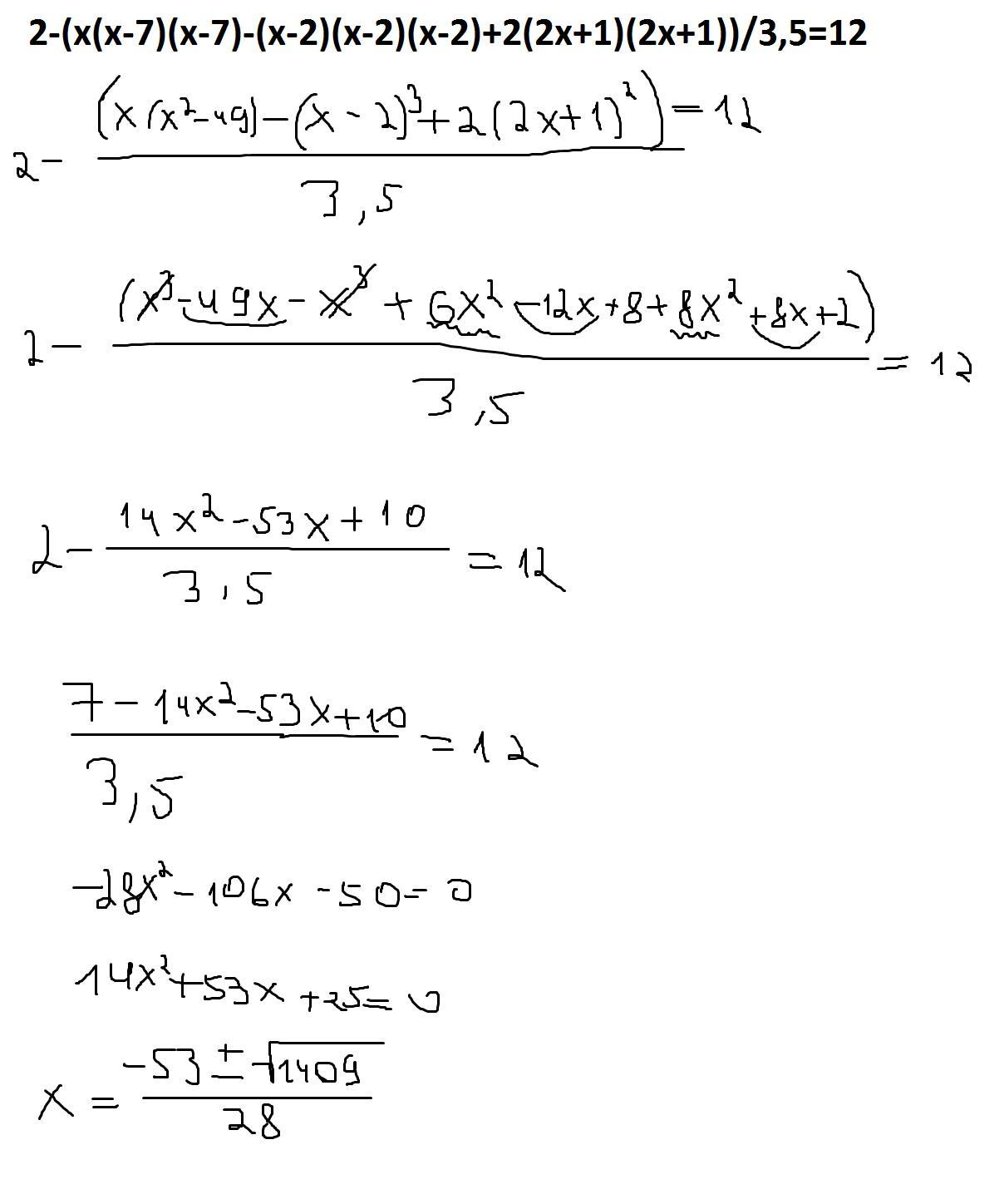
2-(x(x-7)(x-7)-(x-2)(x-2)(x-2)+2(2x+1)(2x+1))/3,5=12
помогите пожалуйста, чему равен x

Ответы

Ответ дал: matematikL
0

Ответ:

Пошаговое объяснение:

вот и все

Приложения:
Ответ дал: fedorgame8834
0
Нет, (x-7)(x-7) не рано x-49
Вас заинтересует