Ответы
Ответ дал:
0
Ответ:
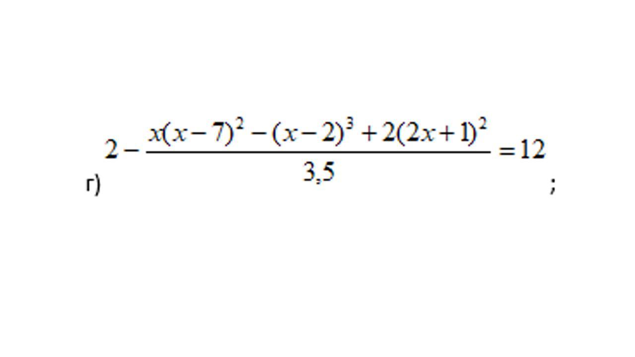
Решение представленно во вложение, ответ - 8
Приложения:

Вас заинтересует
3 года назад
3 года назад
8 лет назад
9 лет назад