• Предмет: Алгебра
  • Автор: wruhvi
  • Вопрос задан 8 лет назад

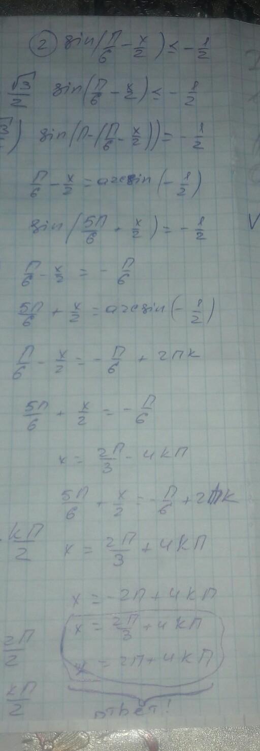
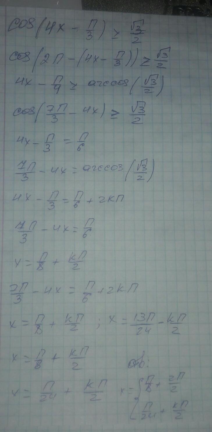
Помогите пожалуйста, есть 10 минуи ​

Приложения:

Ответы

Ответ дал: ShaxnozaAbdullayeva
0

Ответ:

это только первое и второе задание

Приложения:
Вас заинтересует