• Предмет: Алгебра
  • Автор: romashevchenko007
  • Вопрос задан 8 лет назад

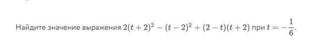
Помогите пожалуйста, отдаю последние баллы!

Приложения:

Ответы

Ответ дал: ir3654545
0

Ответ:

-2,25 и 6

Объяснение:

-

Приложения:
Ответ дал: romashevchenko007
0
Спасибо)
Вас заинтересует