Ответы
Ответ дал:
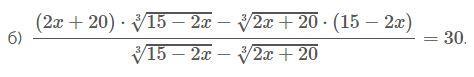
0
Ответ:
Объяснение:
!!!!!!!!!!!!!!!!!!!!!!!!
Приложения:


Вас заинтересует
2 года назад
2 года назад
3 года назад
8 лет назад
9 лет назад