пожалуйста срочно !??!!!
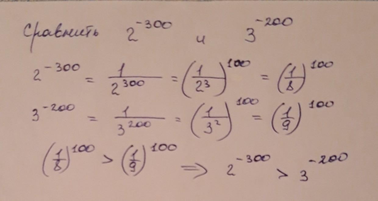
сравнить выражения 2^-300 и 3^-200 степени
там минусовые степени
Приложения:

Ответы
Ответ дал:
0
Ответ:
Правильный ответ первый сверху.
Сравните значения выражений.
Приложения:

Вас заинтересует
2 года назад
3 года назад
3 года назад
8 лет назад
8 лет назад
9 лет назад
9 лет назад