• Предмет: Алгебра
  • Автор: meow152
  • Вопрос задан 8 лет назад

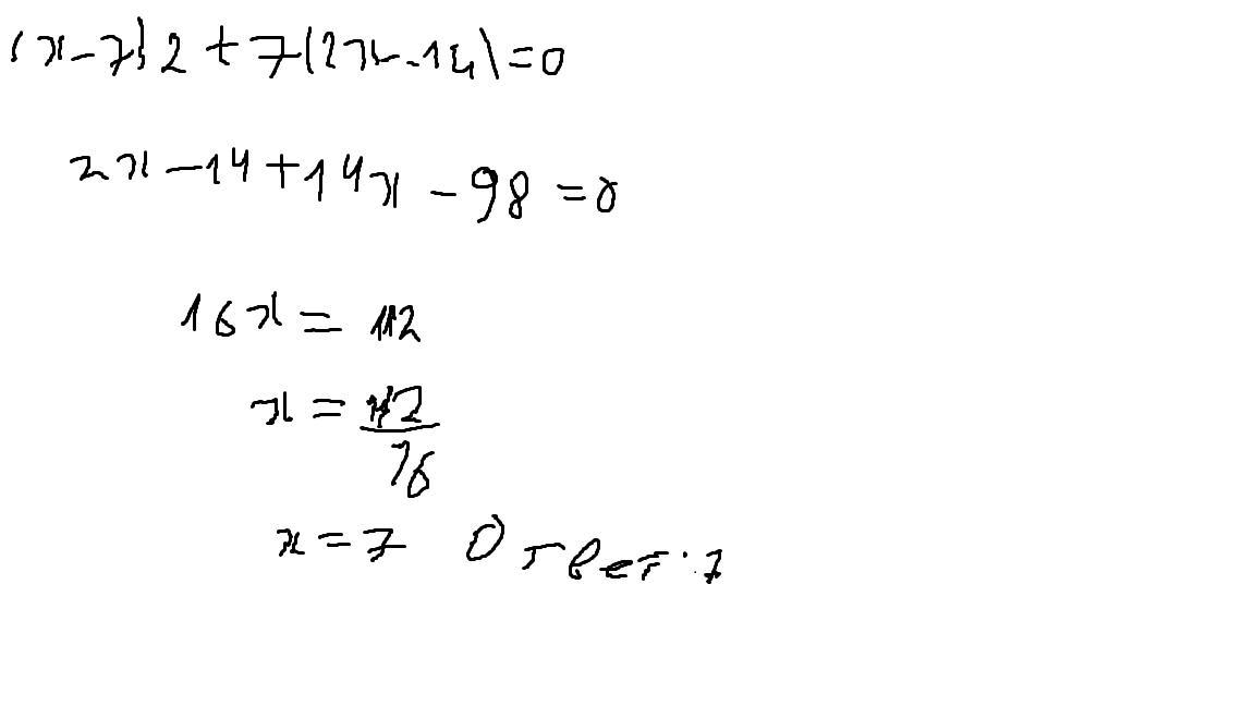
Решите уравнение: (x−7)2+7(2x−14)=0
(В ответ запишите произведение корней)

Ответы

Ответ дал: MeRtVii
0

Ответ:

Здесь 1 корень,не понятно о каком произведение идет речь

Объяснение:

Приложения:
Вас заинтересует