• Предмет: Алгебра
  • Автор: nabdurahmanov591
  • Вопрос задан 8 лет назад

Помогите пожалуйста даю 20 баллов

Приложения:

Ответы

Ответ дал: MeRtVii
0

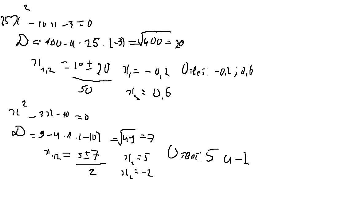
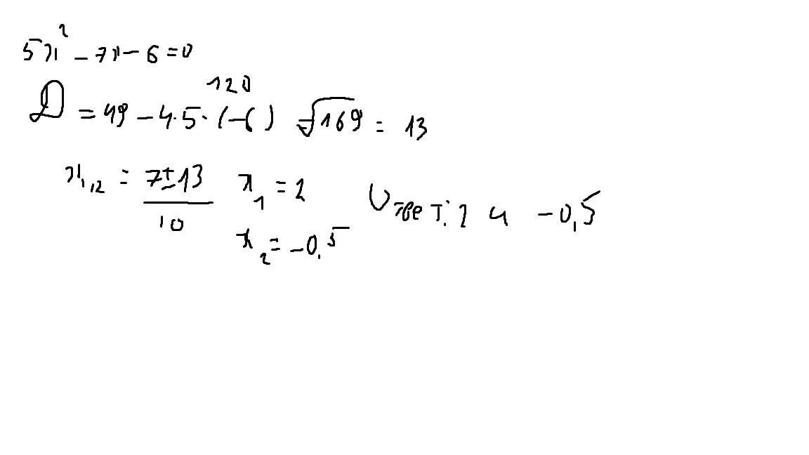
Ответ:

фотки

Объяснение:

Приложения:
Вас заинтересует