• Предмет: Математика
  • Автор: barboss88
  • Вопрос задан 8 лет назад

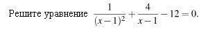
Решить уравнение ...........

Приложения:

Ответы

Ответ дал: sebrithien
0

Ответ:

x_1 =  frac{5}{6}  \ x_2 = 1.5

Пошаговое объяснение:

 frac{1}{ {(x - 1)}^{2} }  +  frac{4}{x - 1}  - 12 = 0 :  :  :  :  :  :  :   |  : x≠  1 \  frac{1 + 4(x - 1) - 12 {(x - 1)}^{2}}{ {(x - 1)}^{2} }   = 0  \ 1 + 4x - 4 - 12( {x}^{2}  - 2x + 1) = 0 \ 1 + 4x - 4 - 12 {x}^{2}  + 24x - 12 = 0 \  - 12 {x}^{2}  + 28x - 15 = 0 \ D =  {28}^{2}  - 4 times ( - 12) times ( - 15) = 784 - 720 = 64 \  sqrt{D}  =  sqrt{64}  = 8 \ x_1 =  frac{ - 28 + 8}{2 times ( - 12)}  =  frac{ - 20}{ - 24}  =  frac{5}{6}  \ x_2 =  frac{ - 28 - 8}{2 times ( - 12)}  =  frac{ - 36}{ - 24}  =   frac{3}{2}  = 1.5

Вас заинтересует