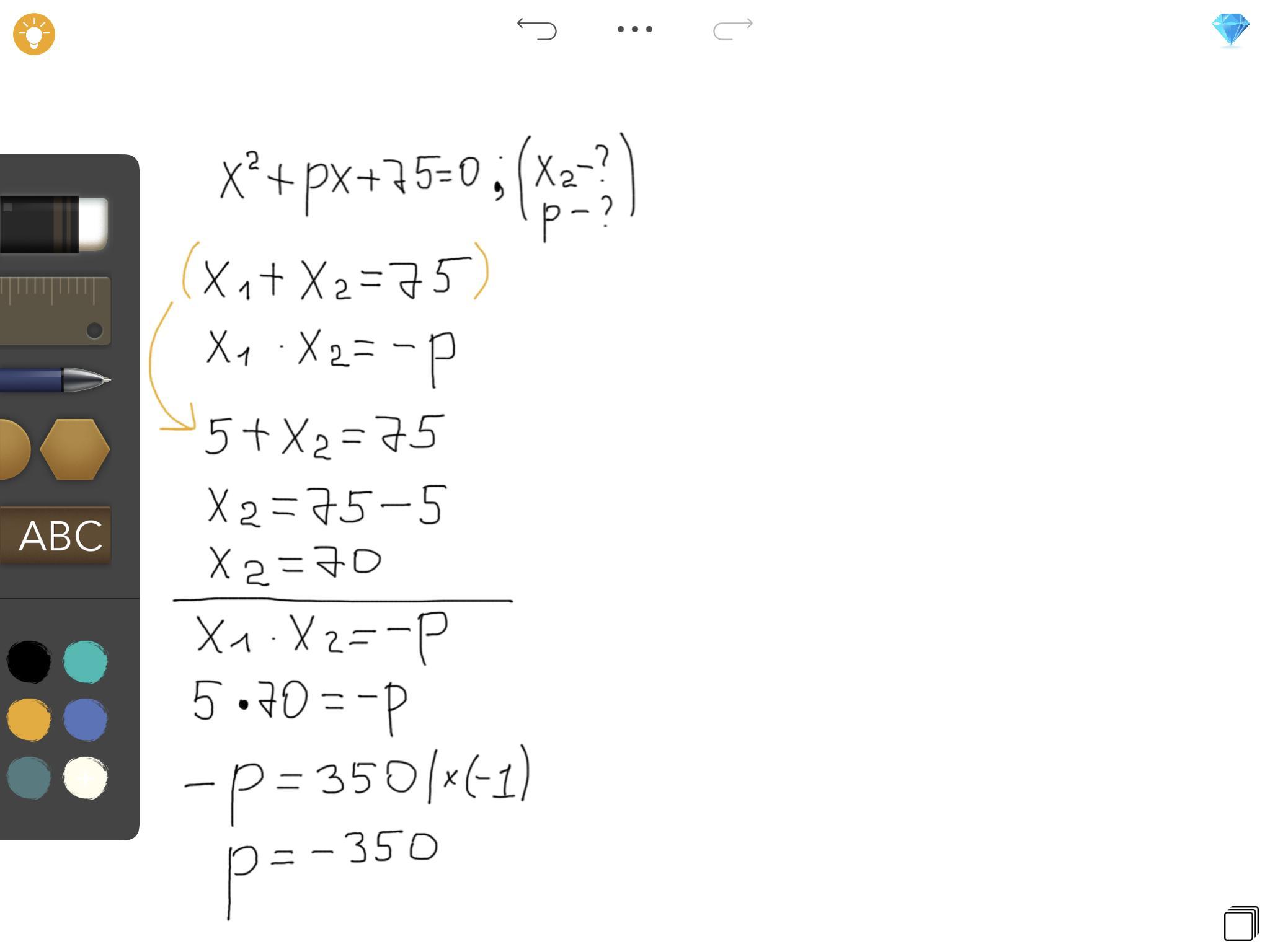
В уравнении x2+px+75=0 один из корней x1=5. Найди значение p и другой корень уравнения. Ответ: x2= ; p=
Ответы
Ответ дал:
0
Ответ:вот)
Объяснение:
Приложения:
Вас заинтересует
2 года назад
2 года назад
3 года назад
3 года назад
9 лет назад
10 лет назад
10 лет назад