Решить дифференциальное уравнение:
Дублирую вопрос, но даю больше баллов

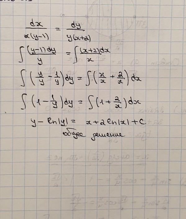
По-сути дела, это уравнение с разделяющимися переменными, тогда разделяем на части и получаем:

Далее можно интегрировать, но "y" будет выражен в неявном виде натурального логарифма:

Как решить?
Ответы
Ответ дал:
0
Ответ:
решение на фотографии
ответ в точности такой, какой написан у вас
но константу можно оставить одну, так как при дифференцировании их количество роли не играет
Приложения:
Ответ дал:
0
Ответ: во вложении Пошаговое объяснение:
Приложения:
Вас заинтересует
2 года назад
2 года назад
3 года назад
3 года назад
10 лет назад