• Предмет: Алгебра
  • Автор: chelovekrubik
  • Вопрос задан 8 лет назад

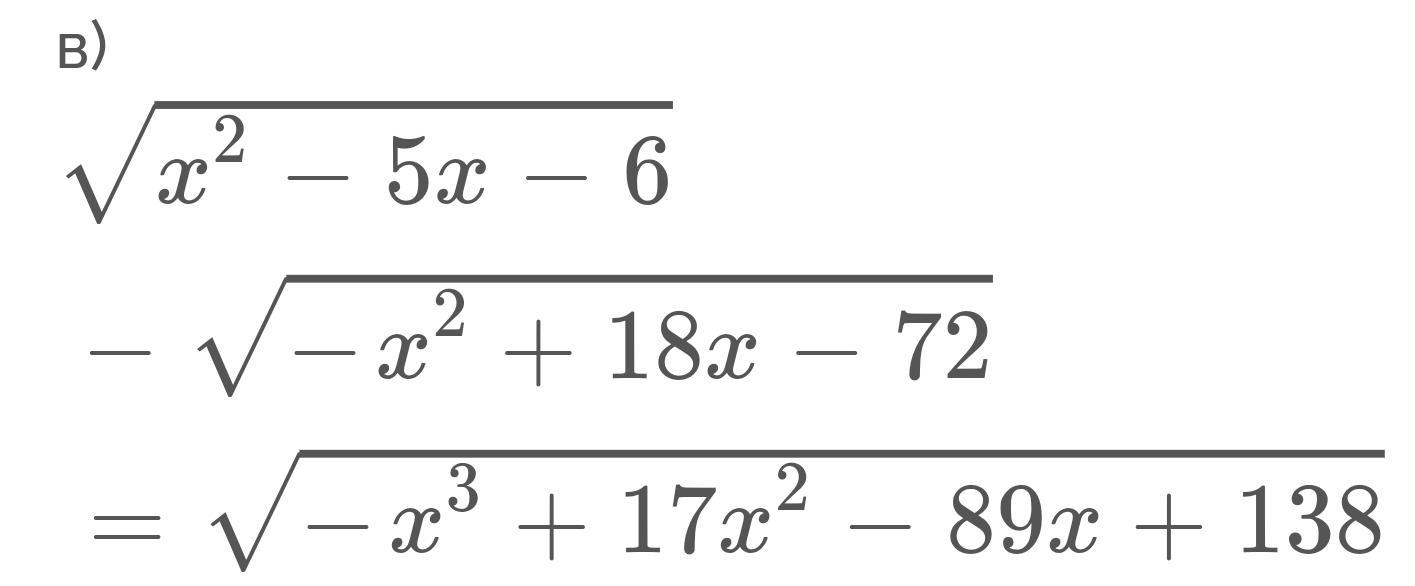
Решите пожалуйста уравнение!!!

Приложения:

Ответы

Ответ дал: m11m
0

Ответ:

Объяснение:

!!!!!!!!!!!!!!!!!!!!!!!!!!

Приложения:
Вас заинтересует