Ответы
Ответ дал:
0
Ответ:
Пошаговое объяснение:
Приложения:

Ответ дал:
0
Ответ:
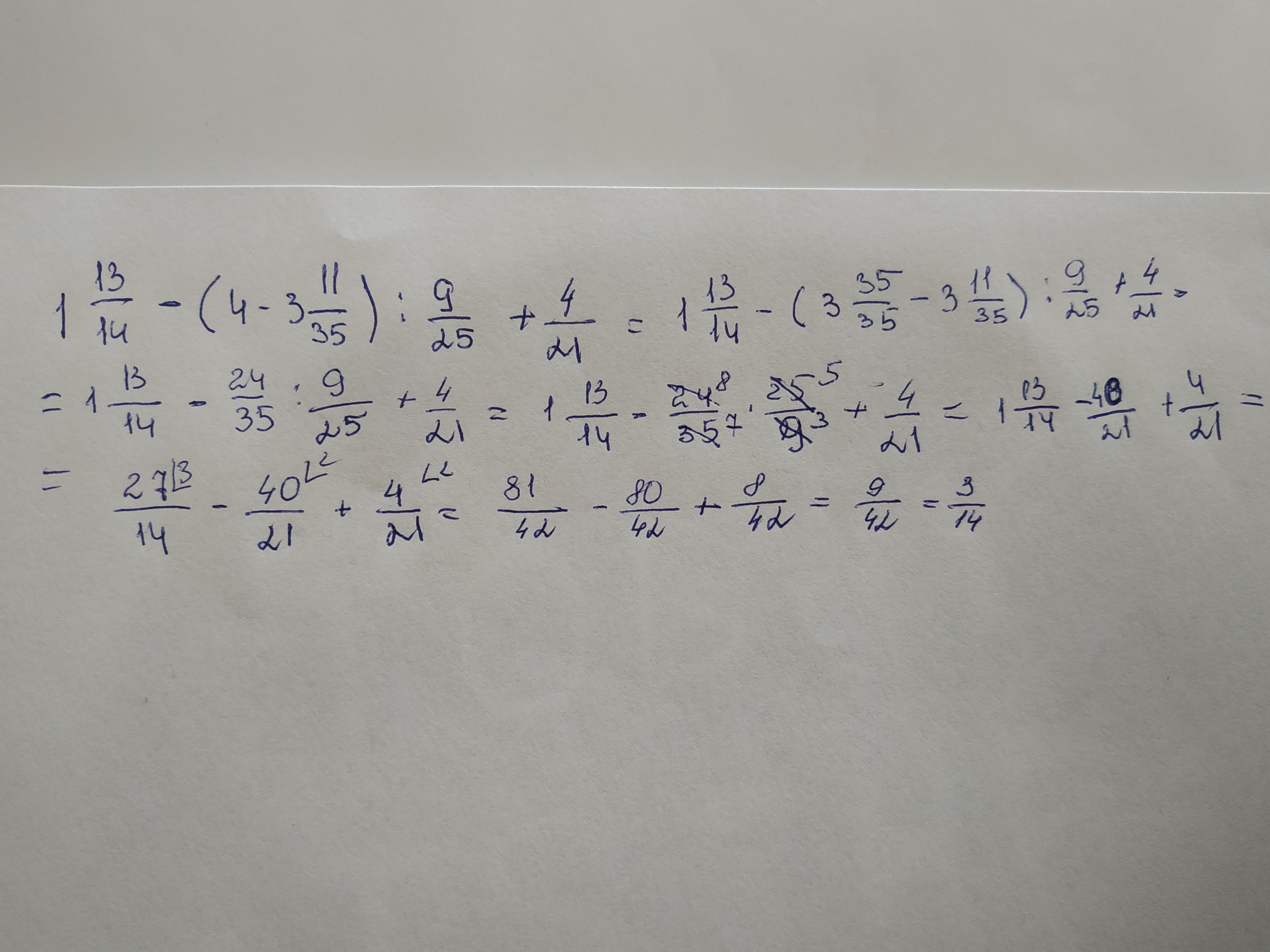
3/14
Пошаговое объяснение:
1) 4-3 11/35=140/35 -116/35= 24/35
2) 24/35 : 9/25= 24/35 * 25/9= 40/21
3) 27/14 - 40/21 = 81/42 - 80 /42= 1/42
4)1/42 + 4/21 = 1/42+ 8/42 = 9/42 =3/14
Приложения:

Вас заинтересует
2 года назад
2 года назад
3 года назад
3 года назад
8 лет назад
8 лет назад
9 лет назад