Ответы
Ответ дал:
0
Ответ:
Пошаговое объяснение:
113х+19=117х-29
-4х=-48
х=-48:(-4)
х=12
Ответ дал:
0
Воть
Ответ дал:
0
Ответ:
х=12
Пошаговое объяснение:
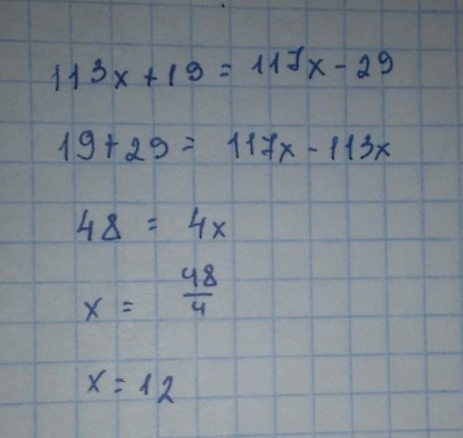
113х+19=117х-29
19+29=117х-113х
48=4х
х=48:4
х=12
Приложения:

Вас заинтересует
2 года назад
2 года назад
3 года назад
3 года назад
8 лет назад
8 лет назад