• Предмет: Алгебра
  • Автор: danillutin520
  • Вопрос задан 8 лет назад

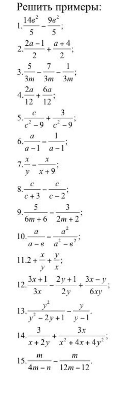
Помогите решить примеры с решением ​

Приложения:

Ответы

Ответ дал: ewrnb
0

Ответ:

я могу решить но какой дава помогу заттупок

Вас заинтересует