• Предмет: Алгебра
  • Автор: serapuntik85
  • Вопрос задан 8 лет назад

Помогите срочно 25 баллов​ пожалуйста.

Приложения:

Ответы

Ответ дал: NNNLLL54
0

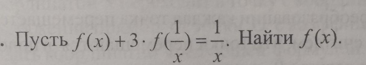
f(x)+3cdot f(frac{1}{x})=frac{1}{x}\\\f(x)=frac{1}{x}-3cdot f(frac{1}{x})\\t=frac{1}{x}; ; (x=frac{1}{t}); ; Rightarrow ; ; ; f(frac{1}{t})=t-3cdot f(t); ; ; Rightarrow ; ; ; f(frac{1}{x})=x-3cdot f(x)\\\f(x)+3cdot Big (x-3cdot f(x)Big )=frac{1}{x}; ; Rightarrow ; ; ; f(x)+3x-9cdot f(x)=frac{1}{x}; ,\\-8cdot f(x)=frac{1}{x}-3x\\-8cdot f(x)=frac{1-3x^2}{x}\\f(x)=frac{3x^2-1}{8x}

Вас заинтересует